ACTIVITIES

ACTIVITIES

Activities at all three clinic branches throughout the years 2022 and 2023.

Read More

HEALTH TIPS

HEALTH TIPS

Health tips for IIUM community

ANNOUNCEMENT

ANNOUNCEMENT

Announcements for the IIUM community

Read More

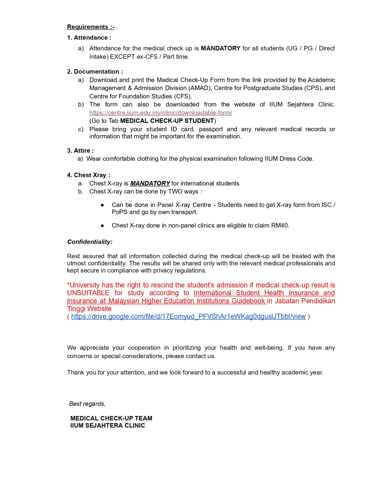
MEDICAL CHECK UP INFOGRAPHIC​​

CLINIC OPERATING HOURS :

  • IIUM SEJAHTERA CLINIC, GOMBAK CAMPUS
    Monday – Friday                     : 8:00 am – 10:00 pm (Consultation)
    Weekend & Public Holiday    : 9:00 am – 2:00 pm (Consultation)
                                                       : 2:00 pm – 10:00 pm (Emergency Only)
  • ADMINISTRATIVE OFFICE IIUM SEJAHTERA CLINIC
    Monday – Friday                     : 8.00 am – 5.00 pm
    Weekend & Public Holiday    : Closed
  • IIUM SEJAHTERA CLINIC, GAMBANG CAMPUS
    Monday – Friday                     : 8:00 am – 5:00 pm (Consultation)
    Saturday                                   : 9:00 am – 2:00 pm (Consultation)
    Sunday & Public Holiday       : Closed
  • POLIKLINIK PRIMER SEJAHTERA, PAGOH
    Sunday – Thursday               : 8:00 am – 5:00 pm (Consultation)
    Friday – Saturday                  : Closed
  • DENTAL CLINIC
    (GOMBAK & GAMBANG CAMPUS)
    Monday – Friday                    : 8:00 am – 5:00 pm
    Weekend & Public Holiday    : Closed